✕
未登录
登录后体验更多功能
首页
文章
考试
记工天
工具
建议
登录
注册
85sk.com
首页
文章
考试
记工天
工具
建议
登录
注册
首页
工具
记工
考试
登录
工具系统
分享你的公式
共
140
个工具
计算
三角函数
单位转换
工程报价
算料下料
材料查询
几何计算
生活实用
正二十面体计算器
正十二面体计算器
任意角度钢梯计算器
正八面体几何计算器
大小头(圆台)几何计算器
桶形体(鼓形)体积、质量计算器
抛物线体(旋转抛物面)体积、质量计算器
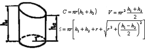
斜切直圆柱几何计算器
截头圆锥体(圆台)几何计算器
楔形体体积计算器
球扇形(球心角体)几何计算器
截头方锥体几何计算器
上一页
1
2
3
4
5
6
7
8
9
10
11
12
下一页